당신이 테노치티틀란에서 육류를 유통하는 상인이라고 상상해 보겠습니다. 테노치티틀란에서는 넓적다리 부위, 허벅지, 팔, 다리, 가슴살 등 부위별로 육류를 유통하고 있으며, 그 외 손과 발, 머리 및 내장 부위는 판매하지 않고 폐기하고 있습니다. 당신은 폐기하는 부위들을 판매하여 추가적인 수익을 얻을 수 있는 방법을 고민하다가 우선 손과 발 부위에 매운 고추 양념을 가미해 간단하게 끓여 먹을 수 있는 가공식품을 개발했습니다. 식품 개발 단계에서 관능성 평가와 맛 테스트를 진행해 소비자들로부터 긍정적인 평가를 얻어냈습니다.
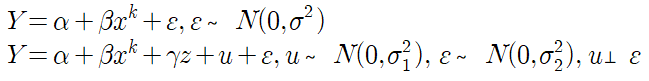
이에 고무된 당신은 매출을 극대화할 수 있는 매운 맛의 정도를 찾기 위해 매운 맛의 정도를 달리한 제품들을 소량 생산해 테노치티틀란의 대형 마트를 통해 유통해 보았고 본격적인 유통에 앞서 제품을 구매하여 취식해 본 소비자들을 대상으로 제품에 대한 만족도 조사를 실시해 보았습니다. 당신은 제품 취식 결과에 대한 만족도 Y는 아래와 같이 추정할 수 있을 것으로 예상했으며 만족도가 더 이상 증가하지 않는 수준의 매운 맛이 있을 것으로 기대했습니다.

그런데 당신의 예상과는 달리 만족도가 극대화되는 매운 맛이 존재하는 것이 아니라 오히려 매운 맛이 강해질수록 제품에 대한 만족도가 감소하는 결과를 얻게 되었습니다. 처음에는 당황스러웠던 당신은 곧 그 원인을 알게 되었습니다.

테노치티틀란은 왕족과 귀족이 거주하는 지역과 상인이 거주하는 지역, 군인이 거주하는 지역과 농민이 거주하는 지역을 구분되어 있다고 가정해 보겠습니다. 각 지역별로 해당 계급만이 거주할 수 있고 가계 소득 수준이 서로 다를 뿐만 아니라 제례(祭禮) 의식 등 육류 소비와 관련한 식습관 역시 다르다고 합니다. 그 결과 제품에 대한 만족도는 매운 맛의 정도뿐만 아니라 응답자가 속한 거주 지역의 특성에도 영향을 받게 됩니다. 동일 거주 지역에 속한 응답자들은 거주 지역의 특성으로부터 유사한 영향을 받게 될 것이므로 동일 거주 지역에 속한 응답자들의 결과는 서로 확률적으로 독립이 아닐 가능성이 큽니다. 그러므로 이런 특성을 지닌 데이터를 이용해 최소자승추정법(OLS)을 적용하면 표준오차가 비정상적으로 작아지고 결정계수 값이 실제 이상으로 높아지면서 추정회귀모형을 부당하게 정당화할 수 있습니다.
당신은 처음에는 거주 지역을 고려하지 않고 조사 결과를 분석했지만 이제 거주 지역을 고려한 결과 거주 지역이 매운 맛의 정도와 취식 후 만족도의 관계를 왜곡하는 왜곡변수로 작용할 수 있다는 점을 알게 되었습니다. 이에 당신은 매운 맛의 정도에 대한 개인의 선호 외에 각 개인이 속한 거주 지역까지 고려한 위계선형모형을 구성하여 거주 지역별로 매운 맛의 수준과 만족도간의 관계를 살펴보았습니다. 위계선형모형(HLM: Hierarchical Linear Model)이 일반적인 회귀분석모형과 다른 점은 테노치티틀란의 거주 지역과 같은 상위 수준의 오차까지 고려한다는 점입니다. 위계선형모형에서는 상위 수준의 오차와 개인 수준의 오차는 서로 확률적으로 독립이라고 가정합니다. 당신이 분석해본 결과 일반적인 회귀분석모형 대비 위계선형모형을 적용한 분석 결과의 편차가 감소한 것으로 나타나 일반적인 회귀분석모형에 비해 거주 지역을 고려한 위계선형모형이 보다 적합한 것으로 나타났습니다. 거주 지역별로 보면 매운 맛의 정도가 높아질수록 제품에 대한 만족도는 체감적으로 높아지는 경향이 있음을 알게 되었습니다.


테노치티틀란에서 당신이 겪은 문제는 위계선형모형의 이론적 배경이 되는 개구리-연못 이론(frog-pond theory)에서도 찾을 수 있습니다. 동일한 무게를 가지는 개구리들을 서로 다른 두 개의 연못에서 표집했다고 생각해 보겠습니다. 동일한 무게를 가지는 개구리가 하나의 연못에서는 비교적 큰 무게를 가진 개구리에 속하지만 다른 연못에서는 비교적 작은 개구리에 속한다고 가정해 보겠습니다. 이렇게 속성을 달리하는 연못에서 표본 추출한 개구리들의 데이터를 근거로 개구리의 몸무게에 영향을 미치는 요인들을 최소자승법(OLS)으로 추정하게 되면 개구리의 몸무게에 영향을 미치는 서로 다른 연못의 특성을 반영하지 못하는 문제가 발생합니다.

이제 당신은 만족도의 수준은 거주 지역에 따라 상이하지만 매운 맛의 정도가 높아질수록 손발 신제품에 대한 만족도 역시 높아진다는 사실과 왕족/귀족 및 상인 거주 지역의 만족수준이 군인 거주 지역이나 농민 거주 지역에 비해 상대적으로 낮다는 점을 알게 되었습니다. 이에 당신은 제품과 브랜드를 나누어 군인과 농민을 대상으로는 합리적인 가격대의 간편 식품으로 출시하고 왕족/귀족 및 상인을 대상으로는 신선한 원료에 사제들의 축성을 받은 고급 기호 식품을 별도로 출시하여 추가적인 수익을 확보할 수 있게 되었습니다.
궁금하신 점이 있으면 아래 버튼을 클릭해 주세요. 성실하게 답변 드리겠습니다!
'마케팅 우라모드' 카테고리의 다른 글
| 제품개발단계와 설문의 구성 (0) | 2020.03.16 |
|---|---|
| 개비스콘 광고 이야기 (0) | 2019.06.22 |
| Willingness to pay (0) | 2018.01.04 |
| 차트 작성 시 몇 가지 주의할 점들 ② (0) | 2017.09.20 |
| 차트 작성 시 몇 가지 주의할 점들 ① (0) | 2017.07.26 |









