스크리밍데이타 주식회사는 2013년 서베이몽키 마케팅 에이전시로 출발해 엄격한 실사품질관리와 집요한 분석으로 제품과 서비스를 시장으로 이어주는 정보를 고객사에게 제공해오고 있습니다. 조사기획과 실사관리부터 최종 보고서까지 필요한 시장조사 서비스만 선별해 경제적인 비용으로 이용할 수 있으며, 마케팅 활동의 출발점이 되는 시장조사 역량을 내재화할 수 있는 지원을 받을 수 있습니다.

ScremingData 개요                                                                                                

ScremingData 연혁 및 주요실적                                                                                         

 

  • 2013년 6월 회사 설립
  • 2013년 8월 SurveyMonkey 마케팅 에이전시
  • 2013년 11월 옥션 트렌드 조사
  • 2014년 2월 G마켓 브랜드 트래킹 조사
  • 2014년 6월 삼성전자 해외 시장 조사 수행 시작
  • 2014년 6월 현대모비스 고객 만족도 조사 수행 시작
  • 2014년 8월 아모레퍼시픽 해외 시장 조사
  • 2015년 5월 LG전자 해외 시장 조사 수행 시작
  • 2015년 10월 (재)한국청년기업가정신재단 글로벌기업가정신지수 조사 
  • 2016년 1월 통계청 1호 사회적협동조합 리서치밸류플러스 참여
  • 2016년 5월 영화산업실태조사 
  • 2016년 7월 삼성전자 미주지역 소비자 조사 
  • 2016년 7월 카페베네 광고효과조사
  • 2016년 8월 경기지역 협동조합실태조사 
  • 2016년 10월 KCA 디지털 사이니지 수용조사 
  • 2017년 1월 인공지능스피커 콘셉트 조사
  • 2017년 2월 삼성전자 가전제품 콘셉트 조사 
  • 2017년 3월 아파트 분양의향 조사
  • 2017년 4월 구내식당 만족도 조사
  • 2017년 5월 스마트폰 인식 및 사용성 조사 
  • 2017년 6월 삼성전자 가전제품 브랜드 해외 조사 
  • 2017년 6월 CJ E&M 프로그램 평가 조사 시작 
  • 2017년 6월 면도기 사용 행태 및 패키지 평가 조사 
  • 2017년 9월 구정 인식 조사 
  • 2017년 11월 안심귀가서비스앱 수용도 조사 
  • 2018년 2월 반려동물 사료 브랜드 모니터링 조사 
  • 2018년 3월 삼성전자 가전제품 해외 소비자 조사 
  • 2018년 4월 초고속인터넷 해외 소비자 조사 
  • 2018년 5월 성범죄 예방 조사 
  • 2018년 5월 기능성 화장품 콘셉트 수용도 조사 
  • 2018년 6월 HIRA 빅데이터 브리프 만족도 조사 
  • 2018년 7월 KCISA 실감형콘테츠 수요 조사 
  • 2018년 8월 등급분류제도 및 게임물이용실태조사 
  • 2018년 8월 반려동물 사료 KBB 조사 
  • 2018년 8월 사회적경제교육수요조사 
  • 2018년 8월 스마트폰 소비자 조사 
  • 2018년 8월 디지털 도어록 브랜드 점검 조사
  • 2018년 10월 농촌개발시험연구사업 만족도 조사 
  • 2018년 10월 전력시설 및 한국전력공사에 대한 인식 조사 
  • 2018년 12월 가톨릭관동대학교 LINC+사업 수요조사 
  • 2019년 2월 한국만화영상진흥원 기관인식조사
  • 2019년 4월 Luxury Buyer Insight Study  

 

ScreamingData 주요 고객사                                                                                

 

 

ScreamingData 맞춤형 서비스                                                                                    

ScreamingData 분석사례 예시                                                                                    

Posted by dooka
,

서베이몽키(surveymonkey)가 제공하는 문항 유형 중 슬라이더(slider)와 복수 입력란(multiple textboxes)을 이용해 쌍대비교를 위한 문항을 만들어 보겠습니다.

슬라이더에서는 우선 척도 범위의 레이블(label)을 지정해 줍니다.

다음으로는 척도 값(value)의 범위와 단위 크기를 지정하고 시작 위치는 가운데로 지정해 줍니다.

서베이몽키(surveymonkey) 슬라이더를 이용해 쌍대비교를 위한 설문을 구성한 결과는 아래와 같습니다.

서베이몽키(surveymonkey)의 복수 입력란을 이용한 쌍대비교 문항을 만들기 위해서는 우선 비교할 속성을 레이블에 입력하고 수치 데이터만 허용하고 고정합이 필요하도록 조건을 선택해 주고 고정합 합계의 수치를 지정해 줍니다.

 

서베이몽키(surveymonkey)의 복수 입력란을 이용한 쌍대비교 문항을 구현한 모습은 아래와 같습니다.

아래 예시 링크에서 구체적으로 확인해 보시기 바랍니다.

https://ko.surveymonkey.com/r/KXXQWFC

 

쌍대비교

Take this survey powered by surveymonkey.com. Create your own surveys for free.

ko.surveymonkey.com

궁금하신 점이 있으면 아래 버튼을 클릭해 주세요. 성실하게 답변 드리겠습니다!

Posted by dooka
,

  당신이 테노치티틀란에서 육류를 유통하는 상인이라고 상상해 보겠습니다. 테노치티틀란에서는 넓적다리 부위, 허벅지, 팔, 다리, 가슴살 등 부위별로 육류를 유통하고 있으며, 그 외 손과 발, 머리 및 내장 부위는 판매하지 않고 폐기하고 있습니다. 당신은 폐기하는 부위들을 판매하여 추가적인 수익을 얻을 수 있는 방법을 고민하다가 우선 손과 발 부위에 매운 고추 양념을 가미해 간단하게 끓여 먹을 수 있는 가공식품을 개발했습니다. 식품 개발 단계에서 관능성 평가와 맛 테스트를 진행해 소비자들로부터 긍정적인 평가를 얻어냈습니다.

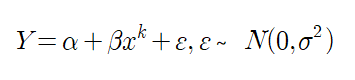
이에 고무된 당신은 매출을 극대화할 수 있는 매운 맛의 정도를 찾기 위해 매운 맛의 정도를 달리한 제품들을 소량 생산해 테노치티틀란의 대형 마트를 통해 유통해 보았고 본격적인 유통에 앞서 제품을 구매하여 취식해 본 소비자들을 대상으로 제품에 대한 만족도 조사를 실시해 보았습니다. 당신은 제품 취식 결과에 대한 만족도 Y는 아래와 같이 추정할 수 있을 것으로 예상했으며 만족도가 더 이상 증가하지 않는 수준의 매운 맛이 있을 것으로 기대했습니다.

그런데 당신의 예상과는 달리 만족도가 극대화되는 매운 맛이 존재하는 것이 아니라 오히려 매운 맛이 강해질수록 제품에 대한 만족도가 감소하는 결과를 얻게 되었습니다. 처음에는 당황스러웠던 당신은 곧 그 원인을 알게 되었습니다.

 

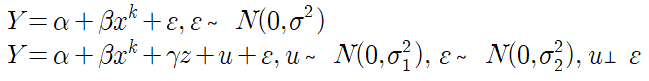
테노치티틀란은 왕족과 귀족이 거주하는 지역과 상인이 거주하는 지역, 군인이 거주하는 지역과 농민이 거주하는 지역을 구분되어 있다고 가정해 보겠습니다. 각 지역별로 해당 계급만이 거주할 수 있고 가계 소득 수준이 서로 다를 뿐만 아니라 제례(祭禮) 의식 등 육류 소비와 관련한 식습관 역시 다르다고 합니다. 그 결과 제품에 대한 만족도는 매운 맛의 정도뿐만 아니라 응답자가 속한 거주 지역의 특성에도 영향을 받게 됩니다. 동일 거주 지역에 속한 응답자들은 거주 지역의 특성으로부터 유사한 영향을 받게 될 것이므로 동일 거주 지역에 속한 응답자들의 결과는 서로 확률적으로 독립이 아닐 가능성이 큽니다. 그러므로 이런 특성을 지닌 데이터를 이용해 최소자승추정법(OLS)을 적용하면 표준오차가 비정상적으로 작아지고 결정계수 값이 실제 이상으로 높아지면서 추정회귀모형을 부당하게 정당화할 수 있습니다.

당신은 처음에는 거주 지역을 고려하지 않고 조사 결과를 분석했지만 이제 거주 지역을 고려한 결과 거주 지역이 매운 맛의 정도와 취식 후 만족도의 관계를 왜곡하는 왜곡변수로 작용할 수 있다는 점을 알게 되었습니다. 이에 당신은 매운 맛의 정도에 대한 개인의 선호 외에 각 개인이 속한 거주 지역까지 고려한 위계선형모형을 구성하여 거주 지역별로 매운 맛의 수준과 만족도간의 관계를 살펴보았습니다. 위계선형모형(HLM: Hierarchical Linear Model)이 일반적인 회귀분석모형과 다른 점은 테노치티틀란의 거주 지역과 같은 상위 수준의 오차까지 고려한다는 점입니다. 위계선형모형에서는 상위 수준의 오차와 개인 수준의 오차는 서로 확률적으로 독립이라고 가정합니다. 당신이 분석해본 결과 일반적인 회귀분석모형 대비 위계선형모형을 적용한 분석 결과의 편차가 감소한 것으로 나타나 일반적인 회귀분석모형에 비해 거주 지역을 고려한 위계선형모형이 보다 적합한 것으로 나타났습니다. 거주 지역별로 보면 매운 맛의 정도가 높아질수록 제품에 대한 만족도는 체감적으로 높아지는 경향이 있음을 알게 되었습니다.

 

테노치티틀란에서 당신이 겪은 문제는 위계선형모형의 이론적 배경이 되는 개구리-연못 이론(frog-pond theory)에서도 찾을 수 있습니다. 동일한 무게를 가지는 개구리들을 서로 다른 두 개의 연못에서 표집했다고 생각해 보겠습니다. 동일한 무게를 가지는 개구리가 하나의 연못에서는 비교적 큰 무게를 가진 개구리에 속하지만 다른 연못에서는 비교적 작은 개구리에 속한다고 가정해 보겠습니다. 이렇게 속성을 달리하는 연못에서 표본 추출한 개구리들의 데이터를 근거로 개구리의 몸무게에 영향을 미치는 요인들을 최소자승법(OLS)으로 추정하게 되면 개구리의 몸무게에 영향을 미치는 서로 다른 연못의 특성을 반영하지 못하는 문제가 발생합니다.

 

이제 당신은 만족도의 수준은 거주 지역에 따라 상이하지만 매운 맛의 정도가 높아질수록 손발 신제품에 대한 만족도 역시 높아진다는 사실과 왕족/귀족 및 상인 거주 지역의 만족수준이 군인 거주 지역이나 농민 거주 지역에 비해 상대적으로 낮다는 점을 알게 되었습니다. 이에 당신은 제품과 브랜드를 나누어 군인과 농민을 대상으로는 합리적인 가격대의 간편 식품으로 출시하고 왕족/귀족 및 상인을 대상으로는 신선한 원료에 사제들의 축성을 받은 고급 기호 식품을 별도로 출시하여 추가적인 수익을 확보할 수 있게 되었습니다.

궁금하신 점이 있으면 아래 버튼을 클릭해 주세요. 성실하게 답변 드리겠습니다!

 

Posted by dooka
,

 

  공적 사업에 대한 고객 만족도 조사를 수행하다 보면 고객 명단을 확보할 수 없는 경우가 있습니다. 고객 명단을 확보할 수 없는 이유는 우선 공공 도서관 이용자나 농업기술센터 방문 농업인과 같이 사업 수혜 고객을 특정할 수 없기 때문입니다. 그 외 중앙정부나 지방정부가 비용을 부담하고 민간 창업컨설팅 기관이 예비창업자들을 대상으로 교육을 실시하는 경우와 같이 제3자 정보 제공 동의를 확보하기 어려워 명단을 확보할 수 없는 경우도 있습니다. 과학영재교육과 같이 사업수행기관이 다양한 형태로 전국에 산재해 있고 사업 수혜 고객 역시 매우 많은 경우에도 시간과 비용을 고려해 볼 때 현실적으로 고객 명단을 확보하는 것이 불가능합니다.

고객에게 접근 가능한 전화번호나 이메일 주소가 있는 명단을 확보할 수 있다면 전화 조사나 이메일 조사를 진행할 수 있지만 명단이 없다면 다른 대안을 찾아야 합니다. 인터넷을 이용한 조사가 일반화되지 않았을 때에는 이런 경우 사업 수혜 고객들을 관리하는 담당자들에게 설문지를 배송하여 고객들에게 배포하게 해 사업 수혜 고객들이 직접 작성하게 한 후 관리 담당자들이 설문지를 취합하여 회신하게 하는 우편 조사를 실시하는 것이 일반적이었습니다. 요즘은 고객 명단을 확보하기 어려운 경우, 설문조사에 참여할 수 있는 웹 사이트를 구축하여 고객들이 이 웹 사이트를 통해 설문에 참여하게 하는 방법을 활용하고 있습니다.

 

아래는 구글 사이트 도구에서 설문조사용 서베이몽키(surveymonkey) 웹 링크를 삽입한 사례입니다. 설문조사를 위한 사이트 구축은 여러 가지 방법을 활용할 수 있겠지만 사이트 트래픽이 높지 않을 것으로 예상되고 비용 절감이 필요한 상황이라면 구글 사이트 도구를 활용하는 것이 가장 효과적입니다. 특히 사이트 구축이 간편해 추가적인 인력 투입 없이도 운용할 수 있다는 점에서 유용한 방법입니다.

https://sites.google.com/view/sw-education-leading-school/%ED%99%88

 

구글 사이트를 이용하는 방법은 매우 간단해서 레이아웃을 지정하고 이미지를 삽입한 후 페이지 제목을 입력한 후 서베이몽키(surveymonkey)의 웹 링크를 삽입하기만 하면 됩니다. 사이트 구축을 전문가에게 맡길 것이 아니라면 신속함을 최우선으로 해 설문조사용 사이트를 최대한 단순하게 만드는 것이 효율적일 것 같습니다.

 

단순히 사이트를 구축해서 설문조사를 위한 서베이몽키(surveymonkey) 웹 링크만 삽입한다면 구태여 웹 사이트를 구축할 필요가 없을 것 같습니다. 서베이몽키(surveymonkey) 웹 링크만으로도 충분하기 때문입니다. 그러나 서로 다른 모국어를 가진 이주배경 가족을 대상으로 조사를 진행해야 하는 경우와 같이 불가피하게 서로 다른 형태의 설문을 구성할 수밖에 없다면 여러 유형의 설문조사 중에서 본인에게 해당하는 설문조사를 선택할 수 있는 하나의 웹 사이트를 구축하는 것이 편리합니다.

 

아래는 설문조사를 위해 구축한 웹 사이트의 주소나 서베이몽키(surveymonkey) 웹 링크의 주소를 활용한 가정 통신문의 한 예입니다. 주소를 단축해서 제공하고 QR코드도 삽입한다면 조사 대상자들이 편리하게 설문조사에 참여할 수 있고, 웹 사이트나 웹 링크의 주소를 공유하거나 홍보하는 것 역시 조금이라도 손쉽게 가능해 집니다.

https://ko.surveymonkey.com/r/swle_teacher

별도의 웹 사이트를 구축하는 방법 외에 사업 수행 기관의 홈 페이지 등 기존 사이트에 설문조사를 위한 서베이몽키(surveymonkey) 웹 링크를 삽입하는 것이 효과적인 경우도 있습니다. 예를 들어 대학교 재학생들이 사업의 수혜 고객들이라고 한다면 대학 홈페이지의 성적 확인 페이지나 학사 행정 일정을 안내하는 페이지에 팝업 창 형태로 설문조사 링크를 노출하거나 홈페이지의 페이지 중 하나로 설문조사 웹 링크를 삽입할 수도 있습니다. 서베이몽키(surveymonkey)에서는 이러한 작업을 수월하게 할 수 있도록 자료 수집 수단인 컬렉터 중 하나로 ‘웹사이트에 삽입하기’ 기능을 제공하고 있습니다.

‘웹사이트에 삽입하기’(웹 사이트 컬렉터) 기능에는 ① 웹사이트 또는 블로그에 설문조사를 삽입하는 ‘삽입된 설문조사’(Embedded Survey), ②웹사이트의 특정 페이지에서 팝업창으로 설문조사 초대장을 표시하는 ‘팝업 초대장’(Popup Invitation), ③ 웹사이트의 특정 페이지에 팝업 창으로 설문조사를 표시하는 ‘팝업 설문조사’(Popup Invitation)의 세 가지 형태를 제공하고 있습니다.

아래는 서베이몽키(surveymonkey)의 ‘삽입된 설문조사’와 ‘팝업 초대장’을 이용해 특정 사이트에 설문조사를 삽입하거나 블로그의 특정 페이지에 설문조사 초대장을 표시한 사례입니다.

공적 사업을 수행하는 많은 기관에서는 민간 기업과 마찬가지로 고객 만족도 조사를 실시해야 할 필요가 있습니다. 하지만 고객 만족도 조사를 위한 예산은 많이 부족한 것도 사실입니다. 서베이몽키(surveymonkey)와 같은 설루션을 활용한다면 주어진 예산 범위 내에서 최소한의 인력 투입만을 통해 설문조사를 수행할 수 있습니다. 공적 사업에 대한 고객 만족도 조사에서는 고객 혹은 고객을 관리하는 일선 담당자의 요구에 얼마나 신속하게 대응하느냐가 조사의 응답률을 제고하는 결정적 요인이 되므로 서베이몽키(surveymonkey)와 같은 솔루션의 활용으로 설문 조사 대상자들의 요구에 민첩하게 대응한다면 정기적으로 실시해야 하는 고객 만족도 조사에 대한 사업 담당자들의 심적 부담이 조금이나마 줄어들 것 같습니다.

궁금하신 점이 있으면 아래 버튼을 클릭해 주세요. 성실하게 답변드리겠습니다!

 

Posted by dooka
,

회귀분석 ③

 

53. 회귀분석 ③

52. 회귀분석 ② 우리는 앞에서 최소자승법에 의한 회귀계수 추정을 하면서 독립변수 x와 종속변수 Y의 관계는 선형이며, 오차항은 정규분포를 따르고, 오차항의 분산은 동일한 값을 가질 뿐만 아니라 오차항은 서..

datascream.co.kr

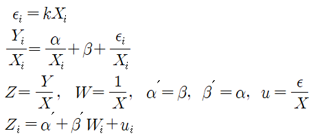
자료가 회귀분석에 산정하는 가정에 부합하는지 여부를 검토하는 방법을 알아보았으므로 이제는 자료가 가정을 만족시키지 못할 경우 필요한 조치에 대해 살펴보도록 하겠습니다.

오차항의 가정에서 오차항의 분산은 일정한 값을 가져야 하는데 독립변수의 값이 증가하거나 감소함에 따라 분산이 달라지는 현상이 발생할 수 있습니다.

이를 이분산성(heteroscedasticity)이라고 하는데 이분산성이 문제 될 때 최소자승추정법으로 회귀계수를 추정하게 되면 회귀계수의 표준편차가 필요 이상으로 증가하여 정확한 회귀계수의 추정이 불가능해집니다.

이분산성 문제를 제거하는 방법은 변수를 변환하는 것입니다. 만약 오차항이 독립변수와 비례관계에 있다면 이를 모형에 반영해 새로운 변수에 대한 회귀분석을 실시할 수 있습니다. 오차항 ε=kx의 관계가 성립한다면 원래의 회귀모형을 독립변수 x로 나누어 준 후 회귀분석을 실시하여 이분산성의 문제를 해결할 수 있습니다. 다만, 원래의 변수는 논리적 추론을 통해 얻은 변수인데 이를 변환하여 얻은 새로운 변수의 의미는 무엇인가라는 해석의 문제는 남게 될 것입니다.

회귀분석에서 오차항이 확률적으로 독립이라는 가정이 성립하지 않는 경우로 관측값이 선행 관측값들과 상관관계를 가지는 자기상관(autocorrelation)도 있습니다.

 

자기상관 현상이 있으면 최소자승추정법을 적용할 경우 결정계수 R2값이 실제 이상으로 높아지고 추정 회귀분석모형이 통계적 검정을 통해 부당하게 정당화될 수도 있습니다. 독립변수 x와 종속변수 Y의 관계는 미미함에도 불구하고 단순히 오차항의 자기상관현상에 의해 회귀모형이 유의미한 것으로 잘못 판단할 수 있는 것입니다. 자기상관 역시 변수변환을 통해 제거할 수 있습니다. 이분산성의 제거와 마찬가지로 새로운 변수의 의미는 무엇인지에 대한 고민은 남게 됩니다.

 이제 단순선형회귀분석에서 독립변수의 수를 추가하여 다중선형회귀분석(multiple linear regression analysis)으로 논의를 확장해 보도록 하겠습니다. 독립변수가 2개 이상이라는 점을 제외하면 적용하는 가정은 동일합니다.

① 오차항 ℇ의 평균은 0이고 ② 분산은 σ2이며 ③ 서로 확률적으로 독립이고 동일한 정규분포를 따른다. 또한 ④ 독립변수 Xi는 비확률변수입니다. 반면, 오차항 ℇ는 확률변수이고 그 결과 종속변수 Yi 역시 확률변수가 됩니다.

다중선형회귀분석에서는 독립변수가 하나가 아니므로 어떤 변수들 취사선택할 것인지가 문제됩니다. 회귀분석에 포함할 독립변수는 종속변수와 상관관계가 높으면서도 선택한 독립변수들 상호간에는 상관관계가 낮아야 할 것입니다. 다중회귀분석에서 독립변수를 선택하는 방법에는 여러 개의 독립변수 중 에서 가장 중요한 변수 순으로 하나씩 선택해 나가는 전진선택(forward selection), 전체 독립변수 중에서 불필요한 변수를 하나씩 제거하는 후진제거(backward elimination)의 방법이 있습니다. 단계적 선택(stepwise selection)은 먼저 전진선택법으로 변수를 하나씩 선택해 나가고 이미 선택한 변수에 대해서는 다중공선성이 높게 나타나는 변수를 후진제거법으로 제거해나가는 방법입니다. 다중공선성이란 세 개 이상의 독립변수들간의 강한 선형관계를 보이는 현상을 말합니다.

선행조사의 결과와 방문고객 및 담당직원과의 인터뷰 등을 종합해 볼 때 단순선형회귀분석에서 생각했던 체험형 유통점에 대한 재방문의향에 영향을 미치는 요인은 대략 다음과 같은 10가지 정도인 것이 밝혀졌다고 가정해 보겠습니다. 이들 10가지 독립변수와 종속변수인 재방문의향의 관계를 다중선형회귀분석을 이용해 알아보겠습니다.

 

가상의 자료를 이용해 위 10개의 독립변수에 대해 다중선형회귀분석을 실시하고 단계적 선택법(stepwise selection)을 적용하여 독립변수를 선택해 보겠습니다.

선택된 독립변수들은 X1, X2, X4, X5, X7, X8의 여섯 개 변수들이고 이들 여섯 개 변수들을 대상으로 회귀계수에 대한 t검정을 실시해 본 결과 상대적으로 회귀계수의 추정치가 작은 값을 가지는 X2의 회귀계수가 통계적으로 유의미하지 않은 것으로 나타났습니다.

이제 X2를 제외하고 X1, X4, X5, X7, X8 만으로 회귀분석을 실시한 후 원래의 여섯 개 독립변수를 이용한 회귀분석과 비교해 보았습니다. X2를 제외한 회귀모형과 원래의 모형 사이에 설명력의 차이가 유의미하지 않은 것으로 보이므로 X1, X4, X5, X7, X8 을 최종 선택했습니다.

다중회귀분석에서는 이분산성이나 자기상관의 문제 외에도 세 개 이상의 독립변수들 간의 강한 선형관계를 보이는 다중공선성(multicollinearity)에 대해서도 유념해야 합니다. 특히 설문지를 이용한 횡단면 조사인 경우 여러 문항간의 다중공선성은 다소 불가피한 측면이 있습니다. 다중공선성은 회귀계수의 계산을 불가능하게 만들거나 회귀계수의 표준편차를 크게 증가시켜 정확한 통계적 검정을 할 수 없게 만들어 특정 독립변수의 독자적인 효과를 측정하는 것을 불가능하게 만듭니다.

일반적으로 독립변수간의 상관관계가 독립변수와 종속변수와의 상관관계보다 높은 경우 다중공선성을 의심해 볼 수 있습니다. 또한, 회귀계수의 표준편차가 매우 큰 값을 가지거나 회귀계수의 부호가 이론적으로 예측한 것과 반대로 나타난 경우에도 다중공선성이 의심됩니다. 독립변수를 추가하거나 삭제했을 때 혹은 자료의 미세한 변화에도 회귀계수 값의 변화가 클 경우 다중공선성을 의심할 수 있습니다.

다중공선성이 의심되는 경우에는 자료를 보완하거나 단계적 선택법을 통해 다중공선성이 의심되는 변수들 중 설명력이 낮은 변수를 제거하여 다중공선성의 문제를 완화할 수 있습니다. 그 외 서로 공행하는 독립변수들을 하나의 주성분으로 묶어 종속변수를 이들 주성분들에게 회귀시키는 주성분회귀분석(principal component regression analysis) 혹은, 공선성을 보이지 않는 외래 추정값을 활용하는 등의 방법으로 다중공선성의 문제를 완화할 수 있습니다.

궁금하신 점이 있으면 아래 버튼을 클릭해 주세요. 성실하게 답변 드리겠습니다.

'야행하는 리서치' 카테고리의 다른 글

53. 회귀분석 ③  (0) 2020.03.11
52. 회귀분석 ②  (2) 2019.05.17
51. Borich요구도와 The Locus for Focus model  (0) 2019.01.10
50. 회귀분석 ①  (0) 2018.08.06
49. AHP(Analytical Hierarchy Process)에 대한 이해  (1) 2018.07.06
Posted by dooka
,

스타트업을 대상으로 한 정책 수요 조사나 교육 만족도 조사 등 수혜 고객의 명단이 있는 경우 서베이몽키 이메일 초대장이 유용한 수단이 됩니다. 이메일에 조사표 파일을 첨부해서 보내는 방법도 있겠으나 응답률이 떨어질 뿐 아니라 응답자 관리도 어렵습니다. 서베이몽키 이메일 초대장을 활용하면 손쉽게 설문을 발송하고 진행 상황을 확인할 수 있을 뿐만 아니라 설문에 참여하지 않고 있거나 설문을 완성하지 않은 조사 대상자들에게 실시간으로 이메일을 재발송하거나 설문 참여를 독려하는 알림 메시지를 보낼 수 있습니다.

그런데 일반적으로 이러한 유형의 조사에서는 조사 대상자들이 관련 기관의 협조 공문을 요구하는 경우가 많습니다. 이 경우 조사 대상자가 이메일을 클릭하여 처음으로 보게 되는 서베이몽키 이메일 초대장의 메시지에서 설문 참여 버튼과 함께 공문을 확인할 수 있다면 조사의 응답률을 높일 수 있습니다. 하지만 서베이몽키 디자인과는 달리 이메일 초대장의 메시지에서는 별도로 이미지를 삽입하는 기능을 제공하고 있지 않으므로 협조 공문을 노출하기 어렵습니다.

만약 서베이몽키의 유료 계정을 사용하고 있다면 이메일 초대장 메시지의 사용자정의HTML 모드를 이용해 협조 공문 이미지 링크를 삽입해 이러한 문제를 해결할 수 있습니다. 주의할 점은 저장하기 전까지는 다른 모드를 선택할 경우 메시지의 설정이 초기화되는 점에 주의해야 합니다. 오류 발생에 대비해 링크 삽입 링크의 HTML코드를 미리 복사해 둔 후 작업하는 것이 불필요한 작업을 줄이는 방법입니다.

이메일 초대장 메시지의 사용자정의HTML 모드를 활성화한 후에는 원하는 위치에 협조 공문 이미지 링크의 HTML 코드를 삽입하고 저장한 후 다음 단계로 진행하면 됩니다.

협조 공문 이미지 링크 코드를 메시지에 삽입한 후에는 테스트 이메일을 발송해서 협조 공문 이미지 링크가 제대로 활성화되는지 확인하면 됩니다. 협조 공문 이미지 링크는 구글 드라이브와 같은 서비스를 이용해 손쉽게 생성할 수 있습니다.

 

궁금하신 점이 있으면 아래 버튼을 클릭해 주세요. 성실하게 답변 드리겠습니다.

Posted by dooka
,

 서베이몽키 Premier 계정에서는 고급 분기 기능을 제공하고 있어 좀 더 다양한 로직 적용이 가능합니다. 고급분기에 대해서는 복수응답이 가능한 확인란을 기준으로 이미 다룬 바 있습니다. 이번에는 드롭다운 메뉴 행렬에서 고급분기 로직을 적용해 보겠습니다.

33. 서베이몽키 고급분기3 보러가기

코로나19 상황 이후 동네슈퍼와 전통시장의 소상공인을 지원하기 위해 일반 소비자들을 대상으로 코로나19 상황 전후로 주요 식료품 유통채널별 이용 빈도의 변화를 점검하는 설문조사를 가정하여 고급분기로직을 적용하겠습니다. 주요 유통채널 중 동네슈퍼와 전통시장에 대해 코로나 19 상황 전에는 월 2회 이상 식료품을 구매했지만 코로나19 상황 후에는 월 1회 이하로 식료품을 구매하고 있는 소비자들에게 구매 빈도가 감소한 이유를 묻는 질문을 서베이몽키 드롭다운 메뉴 행렬과 확인란(중복응답)으로 구현해 보겠습니다.

우선 드롭다운 메뉴 행렬로 설문을 구성해 보겠습니다. 드롭다운 메뉴 행렬에서 유통채널을 입력해주고 열은 코로나 전과 코로나 후를 추가해 줍니다. 다음으로 열의 보기를 입력합니다.

드롭다운 메뉴 행렬을 완성한 후에는 해당 페이지 상단의 페이지 로직에서 고급 분기 로직에서 원하는 규칙을 입력합니다. 동네슈퍼에 대해서 코로나 전후로 필요한 조건을 선택하고 조건을 충족할 경우 이동할 페이지도 선택해 줍니다.

다음으로 전통시장에 대해서도 동일하게 규칙을 입력해주고 규칙 적용 후 이동할 페이지도 지정해 줍니다. 이동할 페이지의 페이지 제목에 페이지 제목 배경색과 동일한 색상으로 간략한 설명을 추가하면 응답자에게는 설명을 노춣하지 않으면서도 정확한 규칙을 입력할 수 있습니다. 복잡한 로직을 적용해야 하는 경우에는 조금 번거롭더라도 플로우 차트를 정확하게 작성한 후 규칙을 입력하는 것이 좋습니다.

 

서베이몽키 드롭다운 메뉴 행렬에서 구현한 고급 분기 로직은 아래 링크에서 확인해 보시기 바랍니다.

https://ko.surveymonkey.com/r/9G5FSN5

링크에서 확인해보면 동네슈퍼와 전통시장을 구분하지 않고 이용 빈도가 감소한 이유를 묻고 있습니다. 아쉽게도 드롭다운 메뉴 행렬에서 규칙을 적용하는 과정에서 상호모순인 규칙을 적용해야 할 경우가 발생했기 때문에 예시 설문에서 동네 슈퍼와 전통시장을 구분해서 이유를 묻는 방법은 찾지 못했습니다. 현재로서는 서베이몽키에서 복수의 보기 선택에 복수의 로직을 적용하는 방법으로는 해당하는 조건들에 해당하는 페이지를 하나 하나 만들어 대응시키는 것만을 찾은 상황입니다. 서베이몽키가 제공하는 기능의 범위 내에서 다른 방법이 있는지는 여전히 찾고 있는 중입니다.

궁금하신 점이 있으면 아래 버튼을 클릭해 주세요. 성실하게 답변 드리겠습니다.

 

 

 

 

Posted by dooka
,

대체로 신제품개발단계는 아래와 같은 절차를 거치게 됩니다.

신제품개발단계에서 아래와 같이 구매예상시기를 묻는 질문은 예비시험조사 단계의 유치조사(Home Use Test)에서 실시하는 것이 효과적이라고 생각합니다. 컨셉트 평가 단계에서 아래와 같은 질문이 의미가 있으려면 컨셉트의 정제 수준이 매우 높고 패키지나 시제품(mock-up) 등을 제시할 수 있어 응답하는 소비자가 어느 정도 구체적으로 상상할 수 있어야 합니다.

 

Q1. 귀하는 향후 ‘OOO’ 을(를) 구매할 계획이 있습니까?

구매할 계획이 없다 ························· 1 

6개월 이내에 구매할 계획이다 ······ 2

1개월 이내에 구매할 계획이다 ······ 3

 

 위의 질문은 구매 시기를 완비된 형태로 제시하지 않았기 때문에 일반적으로는 구매의향이 있는 소비자의 비율을 과소추정하게 되는 경쟁가설로 작용할 우려가 있습니다. 응답자의 입장에서 위 설문의 보기 ‘6개월 이내’나 ‘1개월 이내’는 너무 촉박한 기간일 수 있으며. 좀 더 다양한 구매예상기간이 보기로 제시되어야 합니다. 또한, 응답자 입장에서는 구매할 의향은 있지만 언제 구매할지는 아직 결정하지 못한 경우도 있으므로 이를 반영한 보기를 제시해야 합니다. 이러한 보기가 모두 반영되었을 때 컨셉트와 제품을 이루는 요소 중 소비자에게 보다 더 호소력이 있는 것은 무엇인지, 어떤 요소가 구매를 주저하게 되는 장애 요인인지 보다 명백해지기도 합니다.

신제품개발과정은 선형적으로 진행하기보다는 아래와 같이 나선형을 이루며 진행되는 것이 일반적이므로 개발과정에 맞춰 조사표의 질문 역시 그 형태와 구체화 정도를 달리해야 할 것입니다.

 

Posted by dooka
,

52. 회귀분석 ②

 

우리는 앞에서 최소자승법에 의한 회귀계수 추정을 하면서 독립변수 x와 종속변수 Y의 관계는 선형이며, 오차항은 정규분포를 따르고, 오차항의 분산은 동일한 값을 가질 뿐만 아니라 오차항은 서로 확률적으로 독립임을 가정했다. 그러므로 회귀분석에서의 추정과 검정을 신뢰하기 위해서는 자료가 가정에 부합하는지를 검토할 필요가 있다.

회귀분석의 가정을 검토하기 위해 R에서 회귀분석 결과의 산점도를 그려보겠다. plot()만으로 산점도를 그릴 수도 있겠지만 par(mfrow=)를 이용해 여러 개의 산점도를 한꺼번에 보여주면 보는 사람이 한꺼번에 판단할 수 있어 편할 것 같다. c(2,2)는 산점도를 2개씩 배열하도록 레이아웃을 지정해주는 옵션이다.

> par(mfrow=c(2,2))

> plot(output)

① 첫 번째 산점도는 잔차와 회귀식으로 예측한 Y값(fitted value, )의 관계를 보여주는 차트이다. 만약 독립변수x와 종속변수 Y이 선형관계를 가지고 오차항은 평균이 0이고 분산이 일정한 값을 가진 정규분포를 따른다면 잔차항은 과 무관하게 수평의 직선에 가까운 모습을 보일 것이다.

② 두 번째 산점도는 잔차항이 정규분포를 알아보기 위한 차트로 이론적인 정규분포 값과 잔차항을 잔차의 표준편차로 나눈 값이 직선의 형태에 부합하면 오차항이 정규분포를 따른다고 볼 수 있다. 만약 명확하지 않다면 정규성 검정절차를 거쳐 확인합니다. Shapiro 정규성 검정을 실시해 본 결과, 사례에서의 잔차항은 정규분포를 따른 것으로 볼 수 있다.

③ 세 번째 산점도는 잔차항을 잔차의 표준편차로 나눈 표준화 잔차항과 회귀식으로 예측한 Y값(fitted value, )의 관계를 보여주는 차트입니다. 오차항의 분산이 동일하다는 등분산 가정이 맞다면 표준화 잔차항은 값과 무관하게 수평의 형태를 보일 것이다.

사례에서 오차항이 일정한 분산을 가진다는 등분산 가정을 좀 더 정확하게 점검하기 위해 Goldfeld-Quandt 검정을 실시해 보았다. Goldfeld-Quandt 검정은 잔차의 이분산성이 독립변수의 값과 직접 관련이 있다는 가정 하에 잔차 분산이 큰 집단과 그렇지 않은 집단을 나누어 이분산성을 검증하는 방법이다. 검정 결과 오차항의 분산은 다른지 않은 것으로 볼 수 있다. Goldfeld-Quandt 검정을 R에서 사용하기 위해서는 lmtest라는 패키지를 설치해야 하고 설치를 위해서는 관리자 권한으로 R 프로그램을 실행해야 한다.

④ 네 번째 산점도는 극단치의 존재를 확인하는 차트이다. 레버리지는 설명변수가 얼마나 치우친 값을 가지는지를 나타내는 지표이며 레버리지 값이 크다는 뜻은 극단치의 존재를 시사한다. 이는 원본 데이터의 입력이 잘못 되었거나 추가적인 데이터 수집이 필요하다는 의미이다.

회귀분석에서 오차항은 서로 확률적으로 독립이라고 가정하는데 위 네 가지 산점도로는 이를 확인할 수 없다. 오차항들의 관계를 점검하기 위해서는 별도의 검정 절차가 필요하다.

오차항의 자기 회귀 현상을 점검하기 위해 사용하는 가장 일반적인 방법으로는 Durbin-Watson 검정이 있다. Durbin-Watson 검정은 회귀분석모형에 상수항이 포함되어 있고 독립변수가 비확률변수이며 독립변수에 시차변수가 포함되지 않을 때 적용할 수 있는 검정 절차이다. Durbin-Watson 통계량은 인접한 잔차항들 간의 차이의 제곱합을 잔차의 제곱합으로 나눈 값인데 잔차들 간에 자기 회귀 현상이 없다면 Durbin-Watson 통계량은 2에 가까운 값을 갖게 된다. 사례에서 Durbin-Watson 검정을 실시한 결과 오차항들간의 자기회귀현상은 없는 것으로 판단할 수 있을 것 같다.

자료가 회귀분석에 산정하는 가정에 부합하는지 여부를 검토하는 방법을 알아보았으므로 다음 포스팅에서는 자료가 가정을 만족시키지 못할 경우 필요한 조치에 대해 살펴보고자 한다.

 

 

 

'야행하는 리서치' 카테고리의 다른 글

54. 회귀분석 ④  (0) 2020.05.07
52. 회귀분석 ②  (2) 2019.05.17
51. Borich요구도와 The Locus for Focus model  (0) 2019.01.10
50. 회귀분석 ①  (0) 2018.08.06
49. AHP(Analytical Hierarchy Process)에 대한 이해  (1) 2018.07.06
Posted by dooka
,

개비스콘이 속해 있는 OTC 위장질환치료제 시장은 대안 탐색·비교 평가가 순차적으로 이루어지는 일단 증상 해소를 위해 구매부터 이루어지고 별 다른 불만이 없다면 재구매가 이어지는 이성 중심의 저관여 시장이라고 볼 수 있을 것 같습니다. 만약 OTC 위장질환치료제 시장이 이성 중심의 저관여 시장이라면 소비자와 제품을 연결하여 구매의사결정의 속도를 높일 수 있는 leverage 확보가 경쟁 우위의 핵심이 될 것입니다.

  개인적으로는 개비스콘 광고가 이런 leverage 확보에 어느 정도 기여했다고 생각합니다. 개비스콘 광고는 개비스콘 짤 생성기가 생길 정도로 사람들의 흥미를 끌어내기도 했지만 개비스콘이 제시하는 편익을 구체적으로 잘 보여준 광고이기도 합니다. 개비스콘 츄어블정 식사편 광고를 보면 소비자가 직면한 ‘식사 후 타는 듯한 복부와 가슴 쓰림’이라는 상황과 문제를 제시한 다음 개비스콘의 ‘빠른 증상 개선효과’를 소방관이 등장하는 크리에이티브로 설득력 있게 전달하고 있습니다. 겔포스M은 최근 집행 광고를 볼 때 개비스콘의 공격에 ‘손쓰림’이라는 문제와 OTC 위장질환치료제 대표 브랜드 겔포스M의 연계성을 강조하는 방식으로 대응한 것으로 보입니다.

 어쨌거나 개비스콘의 광고는 매우 전형적인 구조를 가지고 있어 마케팅에 관심이 있는 사람이라면 개비스콘 광고를 자세히 뜯어 볼 필요가 있습니다. 개비스콘 광고를 토대로 강조·생략하거나 tone & manner를 조절함으로써 다양한 카테고리와 브랜드에 어울리는 마케팅 커뮤니케이션 콘텐츠를 개발하는데 시사점을 얻을 수 있을 것입니다.

 구글 트렌드에서 검색해보면 2016년 이후부터는 개비스콘의 검색량이 겔포스를 앞서는 모습을 보입니다. 개비스콘의 관련 검색어로도 개비스콘 짤이 언급되고 있어 개비스콘 광고가 최소한 개비스콘 인지도 제고에는 기여했을 것으로 보입니다.

 

궁금하신 점이 있으면 아래 링크를 클릭해 주세요. 성실하게 답변드리겠습니다!

https://ko.research.net/r/XSKJRT7

 

 

 

Posted by dooka
,